0-1 Knapsack Problem - 깊이 우선 검색을 사용한 한정분기 (Branch and Bound)
0-1 Knapsack Problem
깊이 우선 검색을 사용한 한정분기 (Branch and Bound)
서론
한정 분기 전략의 동기 : 되추적의 비효율되추적의 탐색 과정에서 Valid가 적용되더라도 여전히 상당한 비율의 정점을 방문하지 않아도 됨을 발견
되추적의 비효율 해결책 : 각 노드를 방문할 때마다 한계치(bound)를 계산
한계치(Bound) : 해당 노드로부터 가지를 뻗어나가서(branch) 얻을 수 있는 해답치의 한계 값
0/1 Knapsack Problem의 깊이 우선 검색을 사용한 한정분기(Branch and Bound) 전략

1. 그 노드의 profit과 weight를 계산한다.
2. 그 노드의 bound를 계산한다.
3. 현재 노드의 profit이 maxprofit보다 크면 maxprofit 값을 경신한다.
4. (weight < M) && (bound > maxprofit)이면, 유망하다고 보고 가지를 뻗어(Branch) 나간다.
4-1. 즉, 무게가 초과하지 않았고, 향후 가치가 최대 가치보다 큼
4-2. 그렇지 않으면 유망하지 않다고 보고, 되추적(Backtraking)한다.
본론
0-1 Knapsack Problem에서 배낭의 한계 무게가 13 (즉 𝑀 = 13)이고, 보석 아이템이 아래 표와 같이 주어질 때, 깊이 우선 검색을 사용한 한정 분기(Branch and Bound)에 대한 상태 공간 트리를 제시하고, 상태 공간 트리 내에서 방문한 전체 노드 수를 비교하시오.

우선 하나의 예제를 통해 깊이 우선 탐색의 상태 공간트리 진행 방식을 설명드리고자 합니다.

제가 처음 예제를 보며 궁금했던 점은 어떻게 (1, 2)의 maxprofit = 90 일까? 였습니다.
깊이 우선 탐색이라는 점을 아예 간과하고 문제를 풀었던 것입니다 ㅠ

탐색을 이 순서로 하는게 아니라,

이 순서로 하는겁니다. 너무나도 당연한 소리시죠 다들?
혹여나 저 같으신 분이 있을까 봐 적어드립니다. 죄송합니다..
그래서 (1, 2) 에서 maxprofit = 90 인 이유는 maxprofit 은 전역 변수기 때문에, 탐색을 하면서 계속 갱신됩니다!
줄로 그어놓은 순서대로 보시면 maxprofit 이 계속 새롭게 갱신되는 모습을 볼 수 있습니다.
이러한 이유로 (1, 2) 이후로는 탐색을 안해도 되고, 같은 원리로 탐색 횟수를 줄일 수 있는 겁니다.
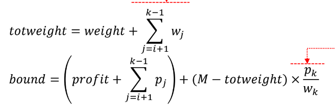
(0,0)
1) (0,0)에서 profit = 0, weight = 0 이므로, maxprofit = 0입니다.
2) (0,0) 에서 bound 값을 구해보겠습니다.
2 + 5 + 7 = 14 이고, 14 > 13(W의 값)이므로, 3번째 아이템을 취하면 무게의 합이 W를 넘습니다. 따라서 k = 3 이고, totweight 와 bound 는 다음과 같이 계산합니다.

3) (weight < M) && (bound > maxprofit) 이면, 유망하다고 보고 가지를 뻗어나갑니다.
( 0 < 13 ) && ( 80 > 0 ) 즉 조건을 만족하므로, (1, 1)로 방문합니다.

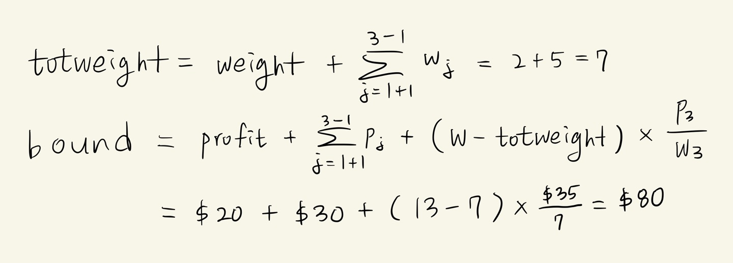
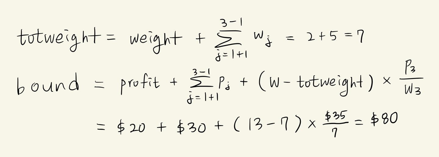
(1,1)
1. (1,1)에서 profit = 20, weight = 2 이므로, maxprofit = 20 입니다.
2. (1,1)에서 bound 값을 구해보겠습니다.
2 + 5 + 7 = 14 이고, 14 > 13(W의 값)이므로, 3번째 아이템을 취하면 무게의 합이 W를 넘습니다. 따라서 k = 3 이고,
totweight 와 bound 는 다음과 같이 계산합니다.

3. (weight < M) && (bound > maxprofit) 이면, 유망하다고 보고 가지를 뻗어나갑니다.
( 2 < 13 ) && ( 80 > 20 ) 즉 조건을 만족하므로, (2,1)로 방문합니다.

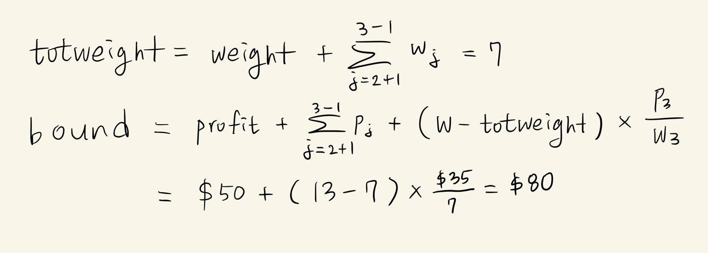
(2,1)
1. (2,1)에서 profit = 50, weight = 7 이므로, maxprofit = 50 입니다.
2. (2,1) 에서 bound 값을 구해보겠습니다.
2 + 5 + 7 = 14 이고, 14 > 13(W의 값)이므로, 3번째 아이템을 취하면 무게의 합이 W를 넘습니다. 따라서 k = 3 이고,
totweight 와 bound 는 다음과 같이 계산합니다.

3. (weight < M) && (bound > maxprofit) 이면, 유망하다고 보고 가지를 뻗어나갑니다.
( 7 < 13 ) && ( 80 > 50 ) 즉 조건을 만족하므로, (3,1)로 방문합니다.

(3,1)
1. (3,1)에서 profit = 85, weight = 14 입니다. M = 13 < weight = 14 이므로 무게를 초과하였습니다.
2. weight를 초과하였으므로 maxprofit, bound 를 구하지 않습니다.
3. 다음 가지로 뻗어나가지 않고, (2,1)로 돌아가 다음 순서인 오른쪽 정점 (3,2)를 방문합니다.

(3,2)
1. (3,2)에서 profit = 50, weight = 7 이므로, maxprofit = 50 입니다.
2. (3,2) 에서 bound 값을 구해보겠습니다.
2 + 5 + 3 + 1 = 11 입니다. 즉, 3번째 아이템을 제외하고 모든 아이템을 더해도 합이 W를 초과하지 않습니다.
따라서 k=6이고, bound 는 다음과 같이 계산합니다.
이미 끝까지(k=6) 도달하였기 때문에, 가정을 통해 totweight을 구할 필요가 없습니다.

3. (weight < M) && (bound > maxprofit) 이면, 유망하다고 보고 가지를 뻗어나갑니다.
( 7 < 13 ) && ( 65 > 50 ) 즉 조건을 만족하므로, (4,1)로 방문합니다.

(4,1)
1. (4,1)에서 profit = 62, weight = 10 이므로, maxprofit = 62 입니다.
2. (4,1) 에서 bound 값을 구해보겠습니다.
2 + 5 + 3 + 1 = 11 입니다. 즉, 3번째 아이템을 제외하고 모든 아이템을 더해도 합이 W를 초과하지 않습니다.
따라서 k=6이고, bound 는 다음과 같이 계산합니다.
이미 끝까지(k=6) 도달하였기 때문에, 가정을 통해 totweight을 구할 필요가 없습니다.

3. (weight < M) && (bound > maxprofit) 이면, 유망하다고 보고 가지를 뻗어나갑니다.
( 10 < 13 ) && ( 65 > 62 ) 즉 조건을 만족하므로, (5,1)로 방문합니다.

(5,1)
1. (5,1)에서 profit = 65, weight = 11 이므로, maxprofit = 65 입니다.
2. (5,1) 에서 bound 값을 구해보겠습니다.
2 + 5 + 3 + 1 = 11 입니다. 즉, 3번째 아이템을 제외하고 모든 아이템을 더해도 합이 W를 초과하지 않습니다.
따라서 k=6이고, j=6이기 때문에 bound 는 profit 과 같습니다.

3. (weight < M) && (bound > maxprofit) 이면, 유망하다고 보고 가지를 뻗어나갑니다.
( 11 < 13 ) && ( 65 == 65 ) 조건을 만족하지 않으므로,
다음 가지로 뻗어나가지 않고, (4,1)로 돌아가 다음 순서인 오른쪽 정점 (5,2)를 방문합니다.

(5,2)
1. (5,2)에서 profit = 62, weight = 10 이고, maxprofit 은 (5,1)에서 구한 65입니다.
2. (5,2) 에서 j=6이기 때문에 bound 는 profit 과 같습니다.

3. (weight < M) && (bound > maxprofit) 이면, 유망하다고 보고 가지를 뻗어나갑니다.
( 10 < 13 ) && ( 62 < 65 ) 조건을 만족하지 않으므로,
다음 가지로 뻗어나가지 않고, (4,1)->(3,2)로 돌아가 다음 순서인 오른쪽 정점 (4,2)를 방문합니다.

(4,2)
1. (4,2)에서 profit = 50, weight = 7 이고, maxprofit 은 (5,1)에서 구한 65입니다.
2. (4,2) 에서 j=6이기 때문에 bound 는 profit 과 같습니다.

3. (weight < M) && (bound > maxprofit) 이면, 유망하다고 보고 가지를 뻗어나갑니다.
( 7 < 13 ) && ( 53 < 65 ) 조건을 만족하지 않으므로,
다음 가지로 뻗어나가지 않고, (3,2)->(2,1)->(1,1)로 돌아가 다음 순서인 오른쪽 정점 (2,2)를 방문합니다.

(2,2)
1. (2,2)에서 profit = 20, weight = 2 이고, maxprofit 은 (5,1)에서 구한 65입니다.
2. (2,2) 에서 bound 는 다음과 같습니다.

3. (weight < M) && (bound > maxprofit) 이면, 유망하다고 보고 가지를 뻗어나갑니다.
( 2 < 13 ) && ( 70 > 65 ) 조건을 만족하므로, (3,3)에 방문합니다.

(3,3)
1. (3,3)에서 profit = 55, weight = 9 이고, maxprofit 은 (5,1)에서 구한 65입니다.
2. (3,3) 에서 bound 는 다음과 같습니다.

3. (weight < M) && (bound > maxprofit) 이면, 유망하다고 보고 가지를 뻗어나갑니다.
( 9 < 13 ) && ( 70 > 65 ) 조건을 만족하므로, (4,3)에 방문합니다.

(3,3)
1. (3,3)에서 profit = 55, weight = 9 이고, maxprofit 은 (5,1)에서 구한 65입니다.
2. (3,3) 에서 bound 는 다음과 같습니다.

3. (weight < M) && (bound > maxprofit) 이면, 유망하다고 보고 가지를 뻗어나갑니다.
( 9 < 13 ) && ( 70 > 65 ) 조건을 만족하므로, (4,3)에 방문합니다.

(4,3)
1. (4,3)에서 profit = 67, weight = 12 이고, maxprofit 은 67입니다.
2. (4,3) 에서 bound 는 다음과 같습니다.

3. (weight < M) && (bound > maxprofit) 이면, 유망하다고 보고 가지를 뻗어나갑니다.
( 12 < 13 ) && ( 70 > 67 ) 조건을 만족하므로, (5,3)에 방문합니다.

(5,3)
1. (5,3)에서 profit = 70, weight = 13 이고, maxprofit 은 70입니다.
2. (5,3) 에서 bound 는 다음과 같습니다.

3. (weight < M) && (bound > maxprofit) 이면, 유망하다고 보고 가지를 뻗어나갑니다.
( 13 = 13 ) && ( 70 = 70 ) 조건을 만족하지 않으므로,
다음 가지로 뻗어나가지 않고, (4,3)로 돌아가 다음 순서인 오른쪽 정점 (5,4)를 방문합니다.

(5,4)
1. (5,4)에서 profit = 67, weight = 12 이고, maxprofit 은 (5,3)에서 구한 70입니다.
2. (5,4) 에서 bound 는 다음과 같습니다.

3. (weight < M) && (bound > maxprofit) 이면, 유망하다고 보고 가지를 뻗어나갑니다.
( 12 < 13 ) && ( 67 < 70 ) 조건을 만족하지 않으므로,
다음 가지로 뻗어나가지 않고, (4,3) -> (3,3)로 돌아가 다음 순서인 오른쪽 정점 (3,4)를 방문합니다.

(4,4)
1. (4,4)에서 profit = 55, weight = 9 이고, maxprofit 은 (5,3)에서 구한 70입니다.
2. (4,4) 에서 bound 는 다음과 같습니다.

3. (weight < M) && (bound > maxprofit) 이면, 유망하다고 보고 가지를 뻗어나갑니다.
( 9 < 13 ) && ( 58 < 70 ) 조건을 만족하지 않으므로,
다음 가지로 뻗어나가지 않고, (3,3) -> (2,2)로 돌아가 다음 순서인 오른쪽 정점 (3,4)를 방문합니다.

(3,4)
1. (3,4)에서 profit = 20, weight = 2 이고, maxprofit 은 (5,3)에서 구한 70입니다.
2. (3,4) 에서 bound 는 다음과 같습니다.

3. (weight < M) && (bound > maxprofit) 이면, 유망하다고 보고 가지를 뻗어나갑니다.
( 2 < 13 ) && ( 35 < 70 ) 조건을 만족하지 않으므로,
다음 가지로 뻗어나가지 않고, (2,2) -> (1,1) -> (0,0)로 돌아가 다음 순서인 오른쪽 정점 (1,2)를 방문합니다.

(1,2)
1. (1,2)에서 profit = 0, weight = 0 이고, maxprofit 은 (5,3)에서 구한 70입니다.
2. (1,2) 에서 bound 는 다음과 같습니다.

3. (weight < M) && (bound > maxprofit) 이면, 유망하다고 보고 가지를 뻗어나갑니다.
( 0 < 13 ) && ( 69 < 70 ) 조건을 만족하지 않으므로, 다음 가지로 뻗어나가지 않습니다.

결론
깊이 우선 검색을 사용한 한정 분기(Branch and Bound) 전략을 통해
최종적으로 완성된 상태 공간 트리는 다음과 같습니다.

깊이 우선 탐색을 사용하여 한정 분기 전략을 사용하였을 때, 전체 방문 노드 수는 17개 입니다.
위 방법을 통해 구한 0-1 Knapsack Problem의 최적해는 아이템 1, 3, 4, 5를 가방에 넣는 것이고, 그 때의 가방의 weight는 13이고 profit은 70입니다.
깊이 우선 검색을 사용한 한정 분기(Branch and Bound) 전략을 통해 상태 공간 트리의 탐색을 이해하고, 한정 분기의 작동 원리를 깨닫는 시간을 가졌습니다.